Kreditgebühren Rechner
Ergebnis:
Monatliche Rate:
Kreditgebühren:
Gesamtrückzahlung:
Mit einem Kreditgebühren Rechner kannst du schnell und einfach die anfallenden Gebühren für deinen Kredit ermitteln. Gib einfach die benötigten Informationen ein, und der Rechner zeigt dir die genauen Kreditgebühren an. So behältst du den Überblick über deine Finanzen und triffst richtige Entscheidungen.
So funktioniert's
- Gib den Kreditbetrag ein.
- Wähle die Laufzeit des Kredits.
- Gib den Zinssatz an.
- Klicke auf "Berechnen".
Der Rechner zeigt dir dann die Kreditgebühren sowie die Gesamtkosten des Kredits an. Nutze diesen praktischen Helfer, um deine Kreditkosten zu verstehen und die richtige Wahl zu treffen.
Kreditgebühren verstehen
Was sind Kreditgebühren?
Kreditgebühren sind sämtliche Kosten, die zusätzlich zum eigentlichen Kreditbetrag anfallen. Diese Gebühren können vielfältig sein und beeinflussen die Gesamtkosten deines Kredits erheblich. Dazu zählen beispielsweise Bearbeitungsgebühren, Kontoführungsgebühren oder auch Gebühren für eine Restschuldversicherung. Um die tatsächlichen Kreditkosten zu ermitteln, ist es wichtig, alle diese Gebühren zu berücksichtigen und den effektiven Jahreszins zu betrachten. Mit einem Kreditrechner kannst du diese Kosten schnell und einfach berechnen und vergleichen. Die Kenntnis der Kreditgebühren hilft dir, fundierte Entscheidungen bei der Wahl deines Kredits zu treffen und die Konditionen verschiedener Kreditangebote besser zu beurteilen.
Arten von Kreditgebühren
Es gibt verschiedene Arten von Kreditgebühren, die sich auf die Gesamtkosten eines Kredits auswirken. Eine wesentliche Komponente ist der Zinssatz, welcher den Preis für die Überlassung des Kreditbetrags darstellt. Dieser kann als Sollzinssatz oder als effektiver Jahreszins angegeben werden, wobei der effektive Jahreszins alle Kosten des Kredits beinhaltet und somit einen besseren Vergleich ermöglicht. Weitere mögliche Kreditkosten sind Bearbeitungsgebühren, die für die Bearbeitung des Kreditantrags erhoben werden, sowie Gebühren für optionale Zusatzleistungen wie eine Restschuldversicherung. Auch Kontoführungsgebühren können anfallen, wenn ein separates Konto für die Kreditraten geführt werden muss. Der Kreditrechner hilft dir, diese verschiedenen Gebühren zu berücksichtigen und die tatsächlichen Kreditkosten zu ermitteln. So erhältst du eine klare Übersicht über die anfallenden Kreditkosten und kannst fundierte Entscheidungen treffen.
Warum Kreditgebühren wichtig sind
Kreditgebühren sind von entscheidender Bedeutung, da sie einen erheblichen Einfluss auf die Gesamtkosten eines Kredits haben. Ein niedriger Zinssatz allein ist nicht immer aussagekräftig, da zusätzliche Gebühren die effektiven Kreditkosten deutlich erhöhen können. Die Kenntnis der Kreditgebühren ermöglicht es dir, Kreditangebote verschiedener Banken und Kreditinstitute realistisch zu vergleichen und das günstigste Angebot zu ermitteln. Indem du alle Kosten, einschließlich Zinsen und Gebühren, berücksichtigst, kannst du eine fundierte Entscheidung treffen und unnötige Ausgaben vermeiden. Ein Kreditrechner ist ein nützliches Werkzeug, um die verschiedenen Kreditkosten zu berechnen und die monatliche Rate sowie die gesamte Laufzeit des Kredits zu optimieren. Die Auseinandersetzung mit Kreditgebühren hilft dir, finanzielle Risiken zu minimieren und die bestmöglichen Konditionen für deinen Kredit zu sichern.
Kreditgebühren berechnen
Berechne selbst deine Kreditgebühren mit folgender Formel:
Kreditgebühren = (Monatliche Rate x Laufzeit) - Kreditbetrag
Lassen uns die Formeln mit einem konkreten Beispiel durchrechnen, um das Ganze greifbar zu machen.
Annahmen:
- Kreditbetrag (K): 15.000 €
- Sollzinssatz p.a.: 8,65 % (dieser wird für die Ratenberechnung verwendet)
- Laufzeit (n): 72 Monate (6 Jahre)
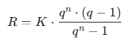
1. Berechnung der monatlichen Rate (R):
Wir setzen diese Werte in die Annuitätenformel ein. Ein Taschenrechner oder eine Tabellenkalkulation, die ohne starke Rundung der Zwischenwerte auskommt, ist hierfür am besten geeignet.

Hierbei stehen die Variablen für:
- R = Monatliche Rate
- K = Dein Kreditbetrag (Nettodarlehensbetrag)
- i = Der monatliche Zinssatz (z. B. Jahreszins von 8,65 % / 12 Monate / 100 = 0,007208333...)
- q = Der Zinsfaktor, also 1+i
- n = Die Laufzeit in Monaten
Setzt man die Werte vom Beispiel oben ein, lautet die Rechnung:

Das exakte Ergebnis für die monatliche Rate lautet also 269,85 €.
2. Berechnung der gesamten Kreditgebühren:
Nun können wir mit der korrekten Rate die gesamten Kreditgebühren berechnen, genau wie im vorherigen Beispiel:

Das Ergebnis bestätigt unsere vorherige Beispielrechnung: Die gesamten Zinskosten für diesen Kredit belaufen sich auf 4.429,20 €.
Online-Kreditrechner benutzen
Ein Online-Kreditrechner ist ein unschätzbares Werkzeug, um deine Kreditkosten schnell und einfach zu berechnen. Mit einem Kreditrechner kannst du verschiedene Szenarien durchspielen, indem du den Kreditbetrag, den Zinssatz und die gewünschte Laufzeit eingibst. Der Kreditrechner ermittelt dann die monatliche Rate, die Zinskosten und den gesamten Rückzahlungsbetrag. Viele Kreditrechner bieten auch die Möglichkeit, den effektiven Jahreszins zu berechnen, welcher alle Kosten des Kredits, einschließlich Bearbeitungsgebühren, berücksichtigt. Dies ermöglicht einen realistischen Vergleich verschiedener Kreditangebote und hilft dir, das beste Kreditangebot zu finden, das zu deiner finanziellen Situation passt. Nutze einen Online-Kreditrechner, um deine Kreditentscheidung fundiert zu treffen.
Berechnung der Zinskosten
Die Berechnung der Zinskosten ist ein wesentlicher Schritt, um die tatsächlichen Kosten eines Kredits zu verstehen. Zinskosten sind die Gebühren, die für die Nutzung des Kreditbetrags über die Kreditlaufzeit anfallen. Um die Zinskosten zu berechnen, musst du den Zinssatz, den Kreditbetrag und die Laufzeit berücksichtigen. Der Zinssatz wird in der Regel als effektiver Jahreszins angegeben, welcher alle Kosten des Kredits, einschließlich Bearbeitungsgebühren und anderer Gebühren, beinhaltet. Mit einem Kreditrechner kannst du die Zinskosten schnell und einfach berechnen, indem du diese Parameter eingibst. Die Berechnung der Zinskosten hilft dir, die Gesamtkosten des Kredits zu ermitteln und verschiedene Kreditangebote zu vergleichen. So kannst du sicherstellen, dass du die günstigste Option wählst, die deinen Bedürfnissen entspricht.
Monatliche Rate ermitteln
Die Ermittlung der monatlichen Rate ist entscheidend, um sicherzustellen, dass der Kredit in dein Budget passt. Die monatliche Rate ist der Betrag, den du jeden Monat an den Kreditgeber zurückzahlen musst, und umfasst sowohl Zinsen als auch Tilgung. Um die monatliche Rate zu berechnen, benötigst du den Kreditbetrag, den Zinssatz und die Kreditlaufzeit. Ein Kreditrechner kann dir dabei helfen, die monatliche Rate schnell und einfach zu berechnen, indem du diese Informationen eingibst. Es ist wichtig, dass die monatliche Rate für dich tragbar ist, damit du deine finanziellen Verpflichtungen erfüllen kannst, ohne in finanzielle Schwierigkeiten zu geraten. Plane sorgfältig und nutze einen Kreditrechner, um die ideale monatliche Rate für deinen Kredit zu ermitteln.
Kreditangebote vergleichen
Wichtige Konditionen vergleichen
Beim Vergleichen von Kreditangeboten ist es entscheidend, dass du die verschiedenen Konditionen genau prüfst. Achte nicht nur auf den Zinssatz, sondern auch auf den effektiven Jahreszins, da dieser alle relevanten Kreditkosten beinhaltet. Vergleiche die Laufzeit des Kredits und die monatliche Rate, um sicherzustellen, dass die Ratenzahlung in dein Budget passt. Prüfe auch, ob Sondertilgungen möglich sind und welche Gebühren dafür anfallen. Ein Kreditrechner kann dir helfen, die verschiedenen Angebote zu berechnen und die Gesamtkosten zu ermitteln. Achte auf die Konditionen hinsichtlich der Restschuldversicherung, da diese die Kreditkosten erheblich beeinflussen kann.
Kreditgebühren Sparkasse als Beispiel
Um dir ein klares Bild zu vermitteln, was Kreditgebühren in der Praxis bedeuten, schauen wir uns ein konkretes Beispiel für einen Ratenkredit an, wie er bei einer Sparkasse angeboten werden könnte. Die Sparkassen sind in Deutschland regional aufgestellt, daher können die genauen Konditionen variieren. Wir nutzen hier für unser Beispiel realistische Durchschnittswerte, die sich an den repräsentativen Beispielen der Sparkassen orientieren.
Wichtig zu verstehen: Heutzutage werden bei den meisten Ratenkrediten keine separaten Bearbeitungsgebühren mehr erhoben. Die Kosten des Kredits, also die Kreditgebühren, sind fast ausschließlich die Zinsen, die du über die Laufzeit zahlst. Diese sind im effektiven Jahreszins bereits vollständig enthalten.
Annahmen für unsere Beispielrechnung
- Kreditbetrag (Nettodarlehensbetrag): 15.000 € (ein häufiger Betrag für größere Anschaffungen wie ein Auto oder eine Modernisierung)
- Laufzeit: 72 Monate (6 Jahre)
- Effektiver Jahreszins: 8,99 % (ein marktüblicher Durchschnittszins für Ratenkredite bei guter bis mittlerer Bonität)
Die Berechnung
Anhand dieser Werte können wir nun die monatliche Belastung und die gesamten Kreditgebühren ermitteln.
- Monatliche Rate: Mit den oben genannten Konditionen würde deine monatliche Rate bei ca. 269,85 € liegen.
- Gesamtrückzahlung: Wenn du 72 Monate lang diese Rate zahlst, beträgt die Gesamtsumme, die du an die Bank zurückzahlst: 72 x 269,85 € = 19.429,20 €
- Kreditgebühren (Zinskosten): Um die reinen Gebühren zu ermitteln, ziehst du den ursprünglichen Kreditbetrag von der Gesamtrückzahlung ab: 19.429,20 € - 15.000 € = 4.429,20 €
Fazit des Beispiels
Für einen Kredit von 15.000 € mit einer Laufzeit von sechs Jahren würden bei einem effektiven Jahreszins von 8,99 % bei der Sparkasse Kreditgebühren in Höhe von 4.429,20 € anfallen.
Nicht immer sind die Sparkasse Kredit Gebühren die besten auf dem Markt. Es gibt andere Kreditanbieter, die günstigere Konditionen haben. Nutze unseren Kreditgebühren Rechner oben auf der Seite, um selbst verschiedene Szenarien mit den Konditionen deiner lokalen Sparkasse oder einer anderen Bank durchzurechnen. So siehst du sofort, wie sich Änderungen bei der Laufzeit oder dem Zinssatz auf deine monatliche Rate und die gesamten Gebühren auswirken. Wenn du ein Kreditangebot der Sparkasse in Betracht ziehst, ist es wichtig, die Kreditgebühren mit anderen Kreditangeboten zu vergleichen. Nutze hierzu gerne unseren Kreditvergleich:
Tipps zur Auswahl des besten Ratenkredits
Bei der Auswahl des besten Ratenkredits gibt es einige wichtige Tipps zu beachten. Nutze einen Kreditrechner, um verschiedene Kreditangebote zu berechnen und die monatliche Rate sowie die gesamten Kreditkosten zu ermitteln. Vergleiche den effektiven Jahreszins, da dieser alle Kosten des Kredits beinhaltet. Achte auf die Laufzeit des Kredits und stelle sicher, dass die Ratenzahlung in dein Budget passt. Prüfe die Konditionen hinsichtlich Sondertilgungen und möglicher Vorfälligkeitsentschädigungen. Informiere dich über die Kreditkosten für eine Restschuldversicherung und entscheide, ob diese für dich sinnvoll ist. Wähle einen Ratenkredit, der deinen Bedürfnissen entspricht und bei dem die Konditionen fair sind.
Kreditgebühren zurückfordern
Wann und wie Kreditgebühren zurückgefordert werden können
Unter bestimmten Umständen kannst du als Kreditnehmer Kreditgebühren zurückfordern. Dies ist insbesondere dann möglich, wenn die Bank unzulässige Gebühren erhoben hat oder wenn dein Kreditvertrag Fehler enthält. Ein häufiger Fall ist die Rückforderung von Bearbeitungsgebühren, die in der Vergangenheit oft unrechtmäßig erhoben wurden. Um Kreditgebühren zurückzufordern, solltest du zunächst deinen Kreditvertrag prüfen und feststellen, ob unzulässige Gebühren enthalten sind. Anschließend kannst du die Bank schriftlich auffordern, die Gebühren zurückzuerstatten. Ein Kreditrechner hilft dir, die Höhe der zurückzufordernden Gebühren zu ermitteln. Es ist ratsam, dich rechtlich beraten zu lassen, um deine Chancen auf eine erfolgreiche Rückforderung zu erhöhen.
Rechtliche Grundlagen für die Rückforderung
Die rechtlichen Grundlagen für die Rückforderung von Kreditgebühren sind im Bürgerlichen Gesetzbuch (BGB) und in der Rechtsprechung des Bundesgerichtshofs (BGH) verankert. Der BGH hat entschieden, dass bestimmte Kreditgebühren, wie beispielsweise Bearbeitungsgebühren, unzulässig sind, da sie dich als Kreditnehmer unangemessen benachteiligen. Diese Rechtsprechung ermöglicht es dir, diese Gebühren von der Bank zurückzufordern. Die Verjährungsfrist für die Rückforderung beträgt in der Regel drei Jahre ab dem Ende des Jahres, in dem der Anspruch entstanden ist. Es ist wichtig, dich über die aktuellen rechtlichen Bestimmungen zu informieren und gegebenenfalls rechtlichen Beistand in Anspruch zu nehmen, um deine Kreditkosten erfolgreich zurückzufordern und eine erfolgreiche Berechnung zu gewährleisten.
Schritte zur Rückforderung von Kreditgebühren
Die Rückforderung von Kreditgebühren erfordert ein systematisches Vorgehen. Dabei solltest du folgende Schritte beachten:
- Zuerst solltest du alle relevanten Unterlagen, wie den Kreditvertrag und Kontoauszüge, zusammentragen und diese auf unzulässige Gebühren, wie z. B. Bearbeitungsgebühren, überprüfen.
- Berechne mit einem Kreditrechner die Höhe der zu viel gezahlten Gebühren.
- Anschließend verfasst du ein formelles Schreiben an die Bank, in dem du die Rückzahlung der Gebühren forderst und eine Frist setzt.
- Bleibt die Bank untätig oder lehnt die Rückzahlung ab, kannst du einen Anwalt einschalten oder eine Verbraucherberatung kontaktieren. Im äußersten Fall kannst du Klage vor Gericht erheben.
Es ist ratsam, sich bei jedem Schritt rechtlich beraten zu lassen, um deine Erfolgschancen zu erhöhen.

 
															